எடுத்துக்காட்டு, தீர்வு | கணக்கு - தொடர்கள் : ஒரு கூட்டுத் தொடர்வரிசையின் முதல் n உறுப்புகளின் கூடுதல் | 10th Mathematics : UNIT 2 : Numbers and Sequences
தொடர்கள் (Series)
ஒரு தொடர்வரிசையின் உறுப்புகளின் கூடுதல் தொடர் எனப்படும். a1, a2, a3,..., an ,... என்பது ஒரு மெய்யெண் தொடர்வரிசை என்க. இங்கு a1 + a2 + a3 + ... என்பது மெய்யெண் தொடர் ஆகும்.
ஒரு தொடரில் முடிவுறு எண்ணிக்கையில் உறுப்புகள் அமையுமானால் அது முடிவுறு தொடர் எனப்படும். ஒரு தொடரில் முடிவுறா எண்ணிக்கையில் உறுப்புகள் அமையுமானால் அது முடிவுறாத் தொடர் எனப்படும். நாம் இங்கு முடிவுறு தொடர்களை மட்டுமே விவாதிப்போம்.
ஒரு கூட்டுத் தொடர்வரிசையின் முதல் n உறுப்புகளின் கூடுதல் (Sum to n terms of an A.P.)
ஒரு தொடரின் உறுப்புகள் கூட்டுத் தொடர்வரிசையில் அமையுமானால் அத்தொடர் கூட்டுத் தொடர் எனப்படும்.
a, a + d, a + 2d, a + 3d,... என்பது ஒரு கூட்டுத் தொடர்வரிசை என்க.
ஒரு கூட்டுத் தொடர்வரிசையின் முதல் n உறுப்புகளின் கூடுதல் ஆனது Sn எனக் குறிப்பிடப்படுகிறது.
Sn=a +(a + d ) + (a + 2d ) + … + (a +(n −1)d ) …….(1)
மேற்கண்ட தொடர்வரிசையைக் கடைசியிலிருந்து முதலாவது உறுப்பு வரை மாற்றி எழுத நாம் பெறுவது,
Sn = (a +(n − 1)d) +(a + (n −2)d ) + … +(a + d ) +a ..(2)
(1) மற்றும் (2) ஐக் கூட்ட நாம் பெறுவது,
2Sn = [a +a + (n −1)d ]+[ a +d +a +(n − 2)d ] + … + [a +(n − 2)d +(a +d )]+[a + (n −1)d +a]
= [2a +(n − 1)d ] +[2a + (n −1)d + .. .. +[2a + (n −1)d ] (n உறுப்புகள்)
2Sn = n ×[2a + (n −1)d ] ⇒ Sn = n/2 [2a + (n − 1)d]
குறிப்பு:
ஒரு கூட்டுத் தொடரின் முதல் உறுப்பு a மற்றும் கடைசி உறுப்பு l (nth - வது உறுப்பு)

முன்னேற்றச் சோதனை
1. ஒரு தொடர் வரிசையிலுள்ள உறுப்புகளின் கூடுதல் ___________.
2. ஒரு தொடரில் முடிவுறு எண்ணிக்கையில் உறுப்புகள் அமையுமானால் அது ____________ எனப்படும்.
3. ஒரு தொடரின் உறுப்புகள் ___________ யில் அமைந்தால் அத்தொடர் ஒரு கூட்டுத்தொடர் எனப்படும்.
4. ஒரு கூட்டுத் தொடரின் முதல் உறுப்பு மற்றும் கடைசி உறுப்பு கொடுக்கப்பட்டால் முதல் n உறுப்புகளின் கூடுதல் காணும் சூத்திரம் ____________.
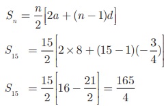
எடுத்துக்காட்டு 2.31
என்ற கூட்டுத் தொடர்வரிசையின் முதல் 15 உறுப்புகளின் கூடுதல் காண்க.
தீர்வு
இங்கு முதல் உறுப்பு a = 8, பொது வித்தியாசம் d = 
கூட்டுத் தொடர்வரிசையின் முதல் n உறுப்புகளின் கூடுதல்

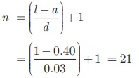
எடுத்துக்காட்டு 2.32
0.40 + 0.43 + 0.46 + … + 1 என்ற தொடரின் கூடுதல் காண்க.
தீர்வு
இங்கு, a = 0.40 மற்றும் l = 1, d = 0.43 – 0.40 = 0.03.
ஆகவே,

ஒரு கூட்டுத் தொடர்வரிசையின் முதல் n உறுப்புகளின் கூடுதல், 
இங்கு, n = 21. எனவே
ஆகவே கூட்டுத் தொடரின் 21 உறுப்புகளின் கூடுதல் 14.7 ஆகும்.
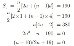
எடுத்துக்காட்டு 2.33
1 + 5 + 9 + ... என்ற தொடரில் எத்தனை உறுப்புகளைக் கூட்டினால் கூடுதல் 190 கிடைக்கும்?
தீர்வு
இங்கு Sn = 190. எனில், n -யின் மதிப்பைக் காணவேண்டும். முதல் உறுப்பு a = 1, பொது வித்தியாசம் d = 5 - 1 = 4.
கூட்டுத் தொடர்வரிசையின் முதல் n உறுப்புகளின் கூடுதல்

ஆனால் n = 10 ஏனெனில் n = -19/2 என்பது பொருந்தாது. எனவே, n = 10.
சிந்தனைக் களம்
n -யின் மதிப்பு மிகை முழுவாக மட்டுமே இருக்கவேண்டும். ஏன்?
முன்னேற்றச் சோதனை
சரியா, தவறா எனக் கூறுக.
1. ஒரு கூட்டுத் தொடர்வரிசையின் n-வது உறுப்பானது pn+q என்ற வடிவில் அமையும், இங்கு p மற்றும் q ஆனது மாறிலிகள்.
2. ஒரு கூட்டுத் தொடர்வரிசையின் முதல் n உறுப்புகளின் கூடுதல் ஆனது pn2+qn + r என்ற வடிவில் அமையும், இங்கு p, q, r என்பன மாறிலிகள்.
எடுத்துக்காட்டு 2.34
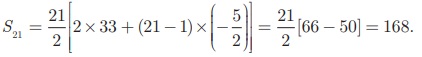
ஒரு கூட்டுத் தொடர்வரிசையின் 13-வது உறுப்பு 3 மற்றும் முதல் 13 உறுப்புகளின் கூடுதல் 234 எனில், கூட்டுத் தொடர்வரிசையின் பொது வித்தியாசம் மற்றும் முதல் 21 உறுப்புகளின் கூடுதல் காண்க.
தீர்வு
13-வது உறுப்பு = 3 என்பதால், t13 = a + 12d = 3 .........(1)
முதல் 13 உறுப்புகளின் கூடுதல் = 234 என்பதால்

2a + 12d = 36 …..(2)
சமன்பாடுகள் (1) மற்றும் (2) ஐத் தீர்க்க நாம் பெறுவது, a = 33, d = −5 /2 எனவே, பொது வித்தியாசம் -5/2.
முதல் 21 உறுப்புகளின் கூடுதல்
எடுத்துக்காட்டு 2.35
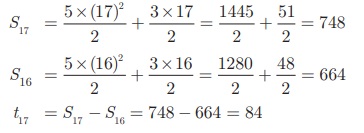
ஒரு கூட்டுத் தொடர்வரிசையில் முதல் n உறுப்புகளின் கூடுதல் 5n2/2 + 3n/2 எனில், 17-வது உறுப்பைக் காண்க.
தீர்வு
முதல் 17 உறுப்புகளின் கூடுதலிலிருந்து முதல் 16 உறுப்புகளின் கூடுதலைக் கழித்தால் 17- வது உறுப்பைக் காணலாம்.

எடுத்துக்காட்டு 2.36
300-க்கும் 600-க்கும் இடையே 7-ஆல் வகுபடும் அனைத்து இயல் எண்களின் கூடுதல் காண்க.
தீர்வு
300-க்கும் 600-க்கும் இடையே 7-ஆல் வகுபடும் இயல் எண்கள் 301,308, 315,...... 595.
300-க்கும் 600-க்கும் இடையே 7-ஆல் வகுபடும் இயல் எண்களின் கூடுதல் 301 + 308 + 315 + … + 595.
மேற்கண்ட தொடரின் உறுப்புகள் கூட்டுத் தொடர்வரிசையில் அமைந்துள்ளன.
முதல் உறுப்பு a = 301; பொது வித்தியாசம் d = 7; கடைசி உறுப்பு l = 595.

Sn = n/2 [a +l ] , என்பதால் S43 = 43/2 [ 301 + 595]= 19264.
எடுத்துக்காட்டு 2.37
சிறிய தரையோடுகளைக் கொண்டு 12 அடி பக்க அளவுள்ள சமபக்க முக்கோண தரையோடுகள் (Mosaic) அமைக்கப்படுகிறது. அவற்றில் உள்ள ஒவ்வொரு தரையோடும் 12 அங்குல அளவிலான சமபக்க முக்கோண வடிவில் உள்ளது. சிறிய தரையோடுகளின் வண்ணங்கள் படத்தில் காண்பிக்கப்பட்டுள்ளது போல மாறி மாறி உள்ளன. ஒவ்வொரு வண்ணத்திலும் உள்ள தரையோடுகளின் எண்ணிக்கை மற்றும் கொடுக்கப்பட்ட அமைப்பில் உள்ள மொத்த தரையோடுகளின் எண்ணிக்கை காண்க.

தீர்வு
தரையோடுகள் ஆனது 12 அடி பக்க அளவுள்ள சமபக்க முக்கோணமாகவும் மற்றும் ஒவ்வொரு சிறிய தரையோடும் 12 அங்குல (1 அடி) பக்க அளவுள்ள சமபக்க முக்கோணமாகவும் இருப்பதால், இந்த அமைப்பில் 12 வரிசைகளில் சிறிய தரையோடுகள் அடுக்கப்பட்டிருக்கின்றன.
படத்திலிருந்து ஒவ்வொரு வரிசையிலும் உள்ள வெள்ளை நிற தரையோடுகளின் எண்ணிக்கை 1, 2, 3, 4, ...... 12 என்பது ஒரு கூட்டுத் தொடர்வரிசை என அறியலாம்.
இதுபோல ஒவ்வொரு வரிசையிலும் உள்ள நீல நிற தரையோடுகளின் எண்ணிக்கை 0, 1, 2, 3, ...... 11. இதுவும் ஒரு கூட்டுத் தொடர் வரிசையாகும்.
வெள்ளை நிற தரையோடுகளின் எண்ணிக்கை = 1 + 2 + 3 + … + 12 = 12/2 [1 + 12] = 78
நீல நிற தரையோடுகளின் எண்ணிக்கை = 0 + 1 + 2 + 3 + … + 11 = 12/2 [0 + 11] = 66
மொத்த தரையோடுகளின் எண்ணிக்கை = 78 + 66 = 144
எடுத்துக்காட்டு 2.38
ஒரு தெருவிலுள்ள வீடுகளுக்கு 1 முதல் 49 வரை தொடர்ச்சியாகக் கதவிலக்கம் வழங்கப்பட்டுள்ளது. செந்திலின் வீட்டிற்கு முன்னதாக உள்ள வீடுகளின் கதவிலக்கங்களின் கூட்டுத் தொகையானது செந்திலின் வீட்டிற்குப் பின்னதாக உள்ள வீடுகளின் கதவிலக்கங்களின் கூட்டுத்தொகைக்குச் சமம் எனில் செந்திலின் வீட்டுக் கதவிலக்கத்தைக் காண்க.
தீர்வு
செந்திலின் வீட்டுக் கதவிலக்கம் x என்க.

x2 - x = 2450 − x2 − x ⇒ 2x2 = 2450 ⇒ x2 = 1225 ⇒ x = 35
எனவே, செந்திலின் வீட்டுக் கதவிலக்கம் 35 ஆகும்.
எடுத்துக்காட்டு 2.39
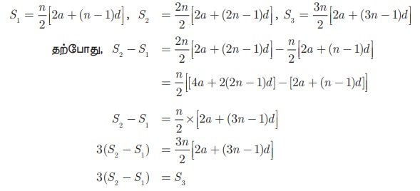
S1, S2 மற்றும் S3 என்பன முறையே ஒரு கூட்டுத் தொடர்வரிசையின் முதல் n, 2n மற்றும் 3n உறுப்புகளின் கூடுதல் ஆகும். S3 = 3(S2 −S1 ). என நிறுவுக.
தீர்வு
S1, S2 மற்றும் S3 என்பன முறையே ஒரு கூட்டுத் தொடர்வரிசையின் முதல் n, 2n மற்றும் 3n உறுப்புகளின் கூடுதல் எனில்,

சிந்தனைக் களம்
1. முதல் 'n' ஒற்றை இயல் எண்களின் கூடுதல் என்ன?
2. முதல் 'n' இரட்டை இயல் எண்களின் கூடுதல் என்ன?