எண்களும் தொடர்வரிசைகளும் | கணக்கு - நினைவில் கொள்ள வேண்டியவை | 10th Mathematics : UNIT 2 : Numbers and Sequences
நினைவில் கொள்ள வேண்டியவை
• யூக்ளிடின் வகுத்தல் துணைத் தேற்றம்
a மற்றும் b என்பன இரு மிகை முழுக்கள் எனில், a = bq + r, 0 ≤ r < |b| என்றவாறு q, r எனும் தனித்த மிகை முழுக்கள் கிடைக்கும்.
• அடிப்படை எண்ணியல் தேற்றம்
எல்லாப் பகு எண்களும் தனித்த பகா எண்களின் பெருக்கற்பலனாகக் காரணிப்படுத்த இயலும், பகா எண்களின் வரிசை மாறலாம்.
• கூட்டுத் தொடர்வரிசை
(i) கூட்டுத் தொடர்வரிசையின் பொதுவடிவம் a, a + d, a + 2d , a + 3d,…. n-வது உறுப்பு tn = a + (n −1) d
(ii) கூட்டுத் தொடர்வரிசையின் முதல் n உறுப்புகளின் கூடுதல் 
(iii) கடைசி உறுப்பு l (n வது உறுப்பு) கொடுக்கப்பட்டால் 
• பெருக்குத் தொடர்வரிசை
(i) பெருக்குத் தொடர்வரிசையின் பொது வடிவம் a, ar, ar2 ,….,arn−1 .
n-வது உறுப்பு tn = ar n−1
(ii) பெருக்குத் தொடர்வரிசையின் முதல் n உறுப்புகளின் கூடுதல்
இங்கு, r ≠ 1
(iii) r = 1 எனில், Sn = na
(iv) பெருக்குத் தொடர்வரிசையின் முடிவுறா உறுப்புகள் வரை கூடுதல் a + ar + ar2 + ....
இங்கு, -1 < r < 1
• சிறப்புத் தொடர்கள்
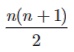
(i) முதல் n இயல் எண்களின் கூடுதல் 1 + 2 + 3 + ... + n = 
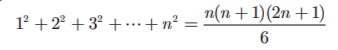
(ii) முதல் n இயல் எண்களின் வர்க்கங்களின் கூடுதல் 
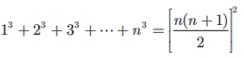
(iii) முதல் n இயல் எண்களின் கனங்களின் கூடுதல் 
(iv) முதல் n ஒற்றை இயல் எண்களின் கூடுதல் 1 + 3 + 5 + ... + (2n - 1) = n2