வரையறை, எடுத்துக்காட்டு கணக்குகள் - நீக்கக் கூடிய மற்றும் துள்ளல் தொடர்ச்சியற்ற தன்மை (Removable and Jump discontinuities) | 11th Mathematics : UNIT 9 : Differential Calculus Limits and Continuity
நீக்கக் கூடிய மற்றும் துள்ளல் தொடர்ச்சியற்ற தன்மை (Removable and Jump discontinuities)
பின்வரும் சார்புகளைக் கவனிப்போம் :
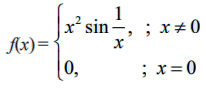
(i) 
(ii) g(x) = C(x). (எடுத்துக்காட்டு 9.38−ல் வரையறுக்கப்பட்ட C(x))
x = 0 −ஐ தவிர மெய்யெண் நேர்க்கோட்டில் உள்ள எல்லா புள்ளிகளுக்கும் f(x) வரையறுக்கப்பட்டுள்ளது. அதாவது, f(0) வரையறுக்கப்படவில்லை. ஆனால்,
ஆக உள்ளது. பின்வருமாறு சார்பை மாற்றி வரையறுப்போம் எனில்

மெய்யெண் நேர்க்கோட்டில் உள்ள அனைத்துப் புள்ளிகளுக்கும் x = 0−ஐயும் சேர்த்து h வரையறுக்கப்பட்டுள்ளது. மேலும் x = 0−இல் h தொடர்ச்சியானது.

x ≠ 0−க்கு h(x) = f(x) என்பதைக் கவனிக்கவும். மூலச்சார்பு f(x), x = 0−இல் தொடர்ச்சியற்றதாக இருந்தபோதிலும் மாற்றி வரையறுக்கப்பட்ட சார்பு h பூஜ்ஜியத்திலும் தொடர்ச்சியானதாக உள்ளது. அதாவது சார்பை மாற்றி வரையறுத்து தொடர்ச்சியற்ற தன்மையை தொடர்ச்சியானதாக மாற்ற முடியும். இவ்வாறு உள்ள தொடர்ச்சியற்ற புள்ளிகள் நீக்கக்கூடியத் தொடர்ச்சியின்மை எனப்படும்.

எடுத்துக்காட்டு 9.38−ல் உள்ளவாறு g(x) = C(x) என்ற சார்பை ஆய்வு செய்வோம். இது [0, ∞)−இல் உள்ள எல்லாப் புள்ளிகளிலும் வரையறுக்கப்பட்டாலும்,
கிடைக்கப்பெறவில்லை. மேலும்
என்ற முடிவான மதிப்புக்கு ஒரு துள்ளல் உள்ளது.
−ன் மதிப்பு கிடைக்கவில்லை என்பதால் x = 100−இல் அது தொடர்ச்சியற்றது. இதுபோன்ற தொடர்ச்சியற்ற தன்மைகள் துள்ளல் தொடர்ச்சியற்ற தன்மை எனப்படும். இதிலிருந்து பின்வரும் வரையறையைப் பெறலாம் :
எடுத்துக்காட்டு 9.38
என வரையறுக்கப்பட்டால் f என்ற சார்பு ℝ −இல் தொடர்ச்சியானதா எனத் தீர்மானிக்க.
தீர்வு
இடையீட்டுத் தேற்றப்படி
மற்றும் f(x)−ன் வரையறைப்படி f(0) = 0, எனவே, x = 0−இல் f தொடர்ச்சியானது. மேலும் மற்ற எல்லா மதிப்புகளுக்கும் தொடர்ச்சியானது என்பது தெளிவாகத் தெரிகிறது. எனவே f என்ற சார்பு ℝ −இல் தொடர்ச்சியானது.
பாடத் தொகுப்பு
இப்பாடப்பகுதியில் நாம் கற்றுத் தெளிந்தவை
• x−ன் மதிப்பு x0 −க்கு குறைவான மதிப்பிலிருந்து x0 −ஐ நெருங்கும்போது y = f(x) என்ற சார்பின் எல்லை மதிப்பு
• x−ன் மதிப்பு x0 −க்கு அதிகமான மதிப்பிலிருந்து x0 −ஐ நெருங்கும்போது y = f(x) என்ற சார்பின் எல்லை மதிப்பு.
• x0 –ஐ நீக்கிய x0 −ன் அண்மைப்பகுதியில் x−ன் மதிப்பு x0 –ஐ நெருங்கும்போது சார்பு f−ன் எல்லைமதிப்பு இருக்குமானால்
என இருக்கும். இதன் மறுதலையும் உண்மை.
•
என்பது x = x0 −ஐ தவிர x−ன் மதிப்பு x0 −க்கு இருபுறமிருந்தும் x0 −ஐ நெருங்கும்போது f(x) −ன் மதிப்பு L −க்கு நெருங்குகின்றது.
• 
• x → x0− எனும்போது f(x) → ± ∞ அல்லது x → x0+ எனும்போது f(x) → ± ∞ அல்லது
என இருக்குமானால்,x−ன் மதிப்பு x0 −ஐ நெருங்கும்போது f(x)−ன் எல்லை மதிப்பு இல்லை.
• (M, ∞) என்பது +∞ −ன் அண்மைப்பகுதி, M > 0
(−∞, K) என்பது – ∞ −ன் அண்மைப்பகுதி K < 0.
• x → x0 எனும்போது f(x)→ ± ∞எனில் x→x0 என்று செங்குத்துத் தொலைத் தொடுகோடு ஆகும்.
• x → ∞ எனும்போது f(x) → l1 அல்லது x → −∞ எனும்போது f(x)→ l2 ஆகியவற்றில் ஒன்று உண்மை எனில் y = f(x) என்ற வளைவரைக்கு y = l1 (அ) l2 என்ற கோடு கிடைமட்டத் தொலைத் தொடுகோடு ஆகும்.
• f(x) தொடர்ச்சியானது எனில்

• துள்ளல் மற்றும் நீக்கக்கூடிய தொடர்ச்சியற்ற தன்மை.
இணையச் செயல்பாடு 9 (a)
வகை நுண்கணிதம்−எல்லைகள் மற்றும் தொடர்ச்சித் தன்மை

படி − 1
கீழ்க்காணும் உரலி / விரைவுக் குறியீட்டைப் பயன்படுத்தி GeoGebra−வின் "XI standard Limits"பக்கத்திற்குச் செல்க. உங்கள் பாடம் சார்ந்த பல பயிற்சித்தாள்கள் இப்பக்கத்தில் கொடுக்கப்பட்டிருக்கும்..
படி −2
"Limits basic என்ற பயிற்சித் தாளைத் தேர்வு செய்க. தொடர் சார்பு கொடுக்கப்பட்டிருக்கும். உங்களுக்கு வேண்டிய புள்ளியை நழுவல் ‘a’ நகர்த்தி தேர்வு செய்து கொள்ளலாம்.கோடு x = h −ஐ நகர்த்தவும் (ஒரு புள்ளிக்கு அருகில்) இடது மற்றும் வலது பக்கம் இரு புறமும் f(h) −ஐ சரிபார்க்க நழுவல் "h"−ஐ நகர்த்தவும். புத்தகத்தில் உள்ள வரையறையுடன் ஒப்பிட்டு சரி பார்க்கவும்.. மேலும் புது வினாக்களுக்கு "New Problem" என்பதைத் தேர்வு செய்யவும்.

உரலி :
*படங்கள் அடையாளத்திற்கு மட்டும்.
இணையச் செயல்பாடு 9 (b)
வகை நுண்கணிதம்−எல்லைகள் மற்றும் தொடர்ச்சித் தன்மை
செயல்பாட்டின் இறுதியில் கிடைக்கப் பெறுவது

படி − 1
கீழ்க்காணும் உரலி / விரைவுக் குறியீட்டைப் பயன்படுத்தி GeoGebra−வின் XI" standard Limits" பக்கத்திற்குச் செல்க. உங்கள் பாடம் சார்ந்த பல பயிற்சித்தாள்கள் இப்பக்கத்தில் கொடுக்கப்பட்டிருக்கும்.
படி − 2
"Piece−wise limit" என்ற பயிற்சித் தாளைத் தேர்வு செய்க.கோடு x = h−ஐ நகர்த்தவும் (ஒரு புள்ளிக்கு அருகில்) இடது மற்றும் வலதுபக்கம் இருபுறமும் f(h) −ஐ சரிபார்க்க நழுவல் "h"−ஐ நகர்த்தவும். புத்தகத்தில் உள்ள வரையறையுடன் ஒப்பிட்டுச் சரிபார்க்கவும்.

உரலி :
*படங்கள் அடையாளத்திற்கு மட்டும்.