புத்தக கணக்குகளுக்கான பதில்கள், தீர்வுகள் | கணக்கு - பயிற்சி 9.1: ஒருபுற எல்லைகள் (One sided limits): இடப்பக்க எல்லை மற்றும் வலப்பக்க எல்லை | 11th Mathematics : UNIT 9 : Differential Calculus Limits and Continuity
பயிற்சி 9.1
1 முதல் 6 வரை உள்ள கணக்குகளுக்கு அட்டவணையைப் பயன்படுத்தி எல்லை மதிப்பைக் கணக்கிடுக.












7 முதல் 15 வரை உள்ள கணக்குகளுக்கு வரைபடத்தைப் பயன்படுத்தி எல்லை மதிப்பு காண்க (உள்ளது எனில்). எல்லை மதிப்பு இல்லை எனில், காரணத்தை விளக்குக.


















16, 17 கணக்குகளுக்கு f−ன் வரைபடம் வரைந்து x0 −ன் எந்த மதிப்புகளுக்கு
உள்ளது என்பதைக் காண்க.
(16) 

(17) 

18) கொடுக்கப்பட்ட மதிப்புகளை நிறைவு செய்யும் சார்பின் வரைபட வரைக.


(19)
என்ற குறியீட்டு முறையின் பொருளைச் சுருக்கமாக விளக்குக.

(20) f(2) = 4 எனில், x−ன் மதிப்பு 2−ஐ நெருங்கும்போது f(x)−ன் எல்லை மதிப்பைப் பற்றி ஏதேனும் முடிவு செய்ய இயலுமா?

(21) x−ன் மதிப்பு 2−ஐ நெருங்கும்போது f(x)−ன் எல்லை மதிப்பு 4 எனில், f(2)−ஐப் பற்றி ஏதேனும் முடிவு செய்ய இயலுமா? விடைக்கான விளக்கம் தருக.

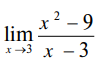
(22) f(3−) மற்றும் f (3+) கண்டு, அவற்றின் மூலம்
−க்கு மதிப்பு இருக்குமானால் அந்த மதிப்பைக் காண்க.

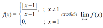
(23)
−ன் மதிப்பு உள்ளதா என்பதைச் சரிபார்க்க.
