புத்தக கணக்குகளுக்கான பதில்கள், தீர்வுகள் | கணக்கு - பயிற்சி 11.12: விகிதமுறு இயற்கணித சார்பின் தொகையிடல் (வகை IV) | 11th Mathematics : UNIT 11 : Integral Calculus
Posted On : 19.02.2024 12:46 am
11 வது கணக்கு : அலகு 11 : தொகை நுண்கணிதம் Integral Calculus
பயிற்சி 11.12: விகிதமுறு இயற்கணித சார்பின் தொகையிடல் (வகை IV)
11 வது கணக்கு : அலகு 11 : தொகை நுண்கணிதம் Integral Calculus : பயிற்சி 11.12: விகிதமுறு இயற்கணித சார்பின் தொகையிடல் (வகை IV) : பல்வேறு வினாக்களுக்கான பதில்கள் மற்றும் தீர்வுகள்
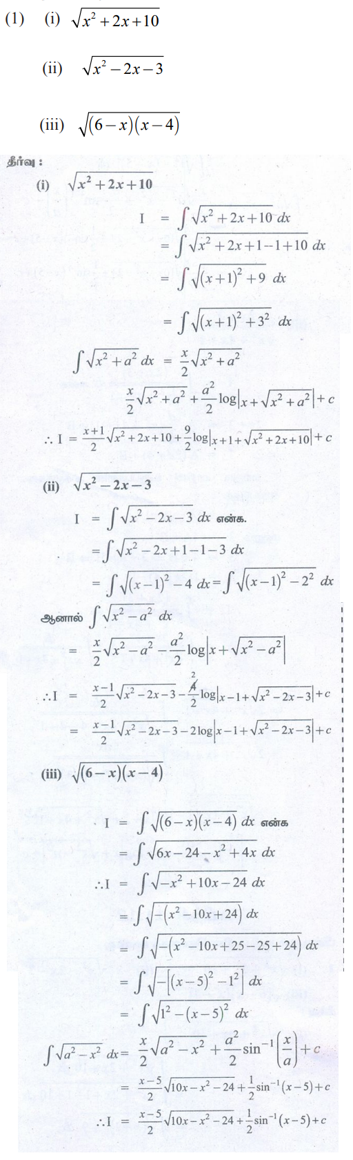
பயிற்சி 11.12
பின்வரும் சார்புகளின் தொகைக் காண்க.

