Home | 11 ஆம் வகுப்பு | 11வது கணிதம் | பயிற்சி 11.7: பகுதித் தொகையிடலுக்கான பெர்னோலியின் சூத்திரம்

புத்தக கணக்குகளுக்கான பதில்கள், தீர்வுகள் | கணக்கு - பயிற்சி 11.7: பகுதித் தொகையிடலுக்கான பெர்னோலியின் சூத்திரம் | 11th Mathematics : UNIT 11 : Integral Calculus

11 வது கணக்கு : அலகு 11 : தொகை நுண்கணிதம் Integral Calculus

பயிற்சி 11.7: பகுதித் தொகையிடலுக்கான பெர்னோலியின் சூத்திரம்

11 வது கணக்கு : அலகு 11 : தொகை நுண்கணிதம் Integral Calculus : பயிற்சி 11.7: பகுதித் தொகையிடலுக்கான பெர்னோலியின் சூத்திரம் : பல்வேறு வினாக்களுக்கான பதில்கள் மற்றும் தீர்வுகள்

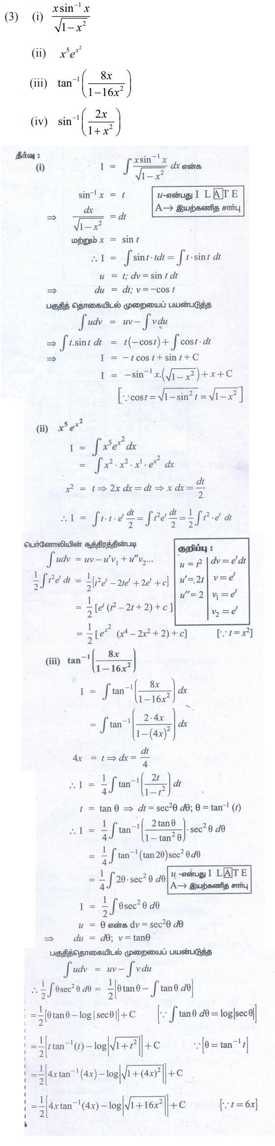
பயிற்சி 11.7






11 வது கணக்கு : அலகு 11 : தொகை நுண்கணிதம் Integral Calculus