புத்தக கணக்குகளுக்கான பதில்கள், தீர்வுகள் | கணக்கு - பயிற்சி 11.6: சில முக்கியமான தொகையிடல்கள் | 11th Mathematics : UNIT 11 : Integral Calculus
Posted On : 12.02.2024 10:47 am
11 வது கணக்கு : அலகு 11 : தொகை நுண்கணிதம் Integral Calculus
பயிற்சி 11.6: சில முக்கியமான தொகையிடல்கள்
11 வது கணக்கு : அலகு 11 : தொகை நுண்கணிதம் Integral Calculus : பயிற்சி 11.6: சில முக்கியமான தொகையிடல்கள் : பல்வேறு வினாக்களுக்கான பதில்கள் மற்றும் தீர்வுகள்
பயிற்சி 11.6
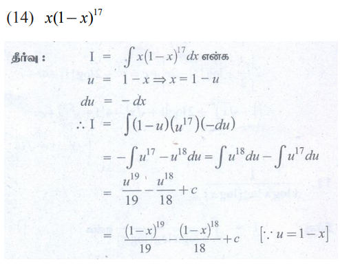
கிழ்க்காண்பனவற்றைத் தொகையிடுக.

