தீர்க்கப்பட்ட எடுத்துக்காட்டு கணக்குகள் - அணிகளின் மீதான செயல்கள் | 10th Mathematics : UNIT 3 : Algebra
அணிகளின் மீதான செயல்கள் (Operations on Matrices)
இப்பகுதியில் அணிகளின் கூடுதல், அணிகளின் கழித்தல், ஓர் அணியை ஒரு திசையிலியால் பெருக்குதல் மற்றும் அணிகளின் பெருக்கல் ஆகியவற்றைக் காண்போம்.
அணிகளின் கூடுதல் மற்றும் கழித்தல் (Addition and subtraction of matrices)
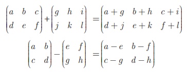
ஒரே வரிசையுடைய இரு அணிகளைக் கூட்டவோ அல்லது கழிக்கவோ முடியும். இரு அணிகளைக் கூட்டுவதற்கோ அல்லது கழிப்பதற்கோ அந்த அணிகளில் இருக்கின்ற ஒத்த உறுப்புகளைக் கூட்டவோ அல்லது கழிக்கவோ செய்யவேண்டும்.
எடுத்துக்காட்டாக,

A = (aij), B = (bij), i = 1, 2, ... m, j = 1, 2, ... n எனில், C = A + B ஆகும்.
இங்கு, C = (cij) மேலும், cij = aij + bij அனைத்து i = 1, 2, ... m மற்றும் j = 1, 2, ... n மதிப்புகளுக்குமாகும்.
எடுத்துக்காட்டு 3.60
எனில், A + B -ஐக் காண்க
தீர்வு

எடுத்துக்காட்டு 3.61
குழு 1, குழு 2, குழு 3 எனும் மூன்று குழுக்களில் உள்ள மாணவர்களுக்கு இரண்டு தேர்வுகள் நடத்தப்பட்டுத் தமிழ், ஆங்கிலம், அறிவியல் மற்றும் கணிதம் ஆகிய பாடங்களில் அவர்கள் பெற்ற சராசரி மதிப்பெண்களை A -மற்றும் B என்ற அணிகளாகக் கீழ்க்கண்டவாறு கொடுக்கப்பட்டுள்ளது எனில், மூன்று குழுக்களில் உள்ள மாணவர்கள், இரண்டு தேர்வுகளிலும் பெற்ற மொத்த மதிப்பெண்களைக் காண்க.

தீர்வு
மூன்று குழுவில் உள்ளவர்கள் இரண்டு தேர்வுகளிலும் பெற்ற மொத்த மதிப்பெண்களின் கூடுதலை அணி மூலம் எழுதினால்,

எடுத்துக்காட்டு 3.62
எனில், A + B -ஐக் காண்க.
தீர்வு
A மற்றும் B என்ற அணிகள் வேறுபட்ட வரிசைகளைக் கொண்டிருப்பதால் இவைகளைக் கூட்ட இயலாது.
அணியைத் திசையிலியால் பெருக்குதல் (Multiplication of Matrix by a Scalar)
கொடுக்கப்பட்ட A என்ற அணியின் உறுப்புகளைப் பூச்சியமற்ற k என்ற எண்ணால் பெருக்கும்போது கிடைக்கும் புதிய அணி kA ஆகும். இதன் உறுப்புகள் அனைத்தும் k ஆல் பெருக்கப்பட்டிருக்கும். kA என்பது A -யின் திசையிலி அணி பெருக்கல் எனப்படும்.
A = (aij)m ×n எனில், kA = (kaij)m ×n அனைத்து, i = 1,2,…,m , j = 1,2,…,n. மதிப்புகளுக்குமாகும்.
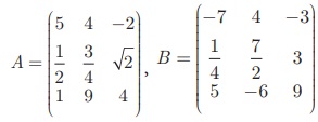
எடுத்துக்காட்டு 3.63
A =
எனில், 2A + B -ஐக் காண்க.
தீர்வு
அணி A-யும் அணி B-யும் 3 × 3 எனும் ஒரே வரிசை உடையதால் 2A + B வரையறுக்கப்படுகிறது.

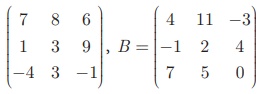
எடுத்துக்காட்டு 3.64
எனில், 4A - 3B - ஐக் காண்க.
தீர்வு
அணி A-யும் அணி B-யும் 3 × 3 எனும் ஒரே வரிசை உடையதால் 4A -லிருந்து 3B -யின் கழித்தல் வரையறுக்கப்படுகிறது.
