கேள்வி பதில்கள் மற்றும் தீர்வுகள் | கணக்கு - பயிற்சி 3.5 : விகிதமுறு கோவைகள் மீதான செயல்கள் | 10th Mathematics : UNIT 3 : Algebra
பயிற்சி 3.5
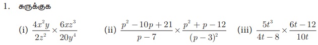
1. சுருக்குக

5. p(x) = x2 − 5x −14 என்ற பல்லுறுப்புக்கோவையை q(x) என்ற பல்லுறுப்புக் கோவையால் வகுக்க (x−7) / (x+2), எனும் விடை கிடைக்கிறது எனில், q (x)- ஐக் காண்க.











செயல்பாடு 1
(i) ஒரு செவ்வக வடிவப் பூங்காவின் நீளமானது ஓர் எண் மற்றும் அதன் தலைகீழியின் கூடுதலாகும். அதன் அகலமானது அதே எண்ணின் வர்க்கம் மற்றும் அந்த வர்க்க எண்ணின் தலைகீழி ஆகியவற்றின் வித்தியாசம் ஆகும். செவ்வக வடிவப் பூங்காவின் நீளம், அகலம் மற்றும் நீள, அகலங்களின் விகிதம் ஆகியவற்றைக் காண்க.

(ii) கொடுக்கப்பட்டுள்ள முக்கோணத்தின் சுற்றளவிற்கும், அதன் பரப்பளவிற்கும் உள்ள விகிதம் காண்க.

விடைகள்:
