கேள்வி பதில்கள் மற்றும் தீர்வுகள் | கணக்கு - பயிற்சி 3.1 : மூன்று மாறிகளில் அமைந்த நேரிய சமன்பாடுகளின் தொகுப்பு | 10th Mathematics : UNIT 3 : Algebra
பயிற்சி 3.1
1. கீழ்க்காணும் மூன்று மாறிகளில் அமைந்த ஒருங்கமை நேரியல் சமன்பாட்டுத் தொகுப்புகளைத் தீர்க்க.
(i) x + y + z = 5; 2x − y + z = 9 ; x − 2y + 3z = 16


2. கீழ்க்காணும் சமன்பாட்டுத் தொகுப்புகளின் தீர்வுகளின் தன்மையைக் காண்க.
(i) x + 2y − z = 6; − 3x − 2y + 5z = −12 ; x − 2z = 3
(ii) 2y + z = 3(−x + 1); −x + 3y − z = −4 ; 3x + 2y + z = −1/2
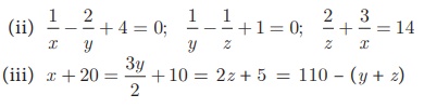
(iii)
; x + y + z = 27

3. தாத்தா, தந்தை மற்றும் வாணி ஆகிய மூவரின் சராசரி வயது 53. தாத்தாவின் வயதில் பாதி, தந்தையின் வயதில் மூன்றில் ஒரு பங்கு மற்றும் வாணியின் வயதில் நான்கில் ஒரு பங்கு ஆகியவற்றின் கூடுதல் 65. நான்கு ஆண்டுகளுக்கு முன் தாத்தாவின் வயது வாணியின் வயதைபோல் நான்கு மடங்கு எனில் மூவரின் தற்போதைய வயதைக் காண்க?

4. ஒரு மூவிலக்க எண்ணில், இலக்கங்களின் கூடுதல் 11. இலக்கங்களை இடமிருந்து வலமாக வரிசை மாற்றினால் புதிய எண் பழைய எண்ணின் ஐந்து மடங்கைவிட 46 அதிகம். பத்தாம் இட இலக்கத்தின் இரு மடங்கோடு நூறாம் இட இலக்கத்தைக் கூட்டினால் ஒன்றாம் இட இலக்கம் கிடைக்கும் எனில், அந்த மூவிலக்க எண்ணைக் காண்க.

5. ஐந்து, பத்து மற்றும் இருபது ரூபாய் நோட்டுகளின் மொத்த மதிப்பு ₹105 மற்றும் மொத்த நோட்டுகளின் எண்ணிக்கை 12. முதல் இரண்டு வகை நோட்டுகளின் எண்ணிக்கையை இடமாற்றம் செய்தால் முந்தைய மதிப்பை விட ₹20 அதிகரிக்கிறது எனில், எத்தனை ஐந்து, பத்து மற்றும் இருபது ரூபாய் நோட்டுகள் உள்ளன?

விடைகள்:
1. (i) 2, -1 , 4
(ii) 1/2, 1/3, 1/4 (iii) 35, 30, 25
2.(i) எண்ணற்ற தீர்வுகள் (ii) தீர்வு இல்லை (iii) ஒரே தீர்வு
3. 24 ஆண்டுகள், 51 ஆண்டுகள், 84 ஆண்டுகள்
4. 137
5. 7, 3, 2