அணி கூட்டல் மற்றும் திசையிலி பெருக்கலின் பண்புகள் (Properties of Matrix Addition and Scalar Multiplication)
A, B, C என்ற அணிகளின் வரிசை m × n மற்றும் p, q இரண்டு பூச்சியமற்ற எண்கள் என்க. இதன் மூலம் பின்வரும் பண்புகளைப் பெறலாம்.
(i) A + B = B + A (அணி கூட்டல் பரிமாற்று பண்பு உடையது)
(ii) A + (B + C) = (A + B) + C [அணி கூட்டல் சேர்ப்பு பண்பு உடையது)
(iii) (pq)A = p(qA) [திசையிலி அணியின் பெருக்கல் சேர்ப்புப்பண்பு உடையது)
(iv) IA=A [திசையிலி சமனிப் பண்பு. இங்கு, I என்பது அலகு அணி ஆகும்]
(v) p (A + B) = pA + pB (இரண்டு அணிகள் மற்றும் திசையிலியின் பங்கீட்டுப் பண்பு]
(vi) (p + q) A = pA + qA (இரண்டு திசையிலி உடைய ஓர் அணியின் பங்கீட்டுப் பண்பு)
கூட்டல் சமனி (Additive Identity)
அணி கூட்டலில் வெற்று அணி அல்லது பூச்சிய அணியானது கூட்டல் சமனியாகும்.
A என்பது ஏதாவது ஓர் அணி என்க. A + O = O + A = A (கூட்டல் சமனிப் பண்பு)
இங்கு, A என்ற அணியும் O என்ற வெற்று அணி அல்லது பூச்சிய அணியும் ஒரே வரிசையைக் கொண்டிருக்கும்.
அணியின் கூட்டல் நேர்மாறு (Additive Inverse)
A என்பது ஏதாவது கொடுக்கப்பட்ட அணி என்க.
- A என்பது A-யின் கூட்டல் நேர்மாறு எனப்படும்.
இங்கு, A + (-A) = (-A) + A = O எனக் கிடைக்கும்.
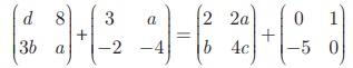
எடுத்துக்காட்டு 3.65
கீழ்க்கண்ட அணிச் சமன்பாட்டிலிருந்து a, b, c, d ஆகியவற்றின் மதிப்புகளைக் காண்க.

தீர்வு
வலப்பக்கத்தில் உள்ள இரு அணிகளையும், இடப்பக்கத்தில் உள்ள இரு அணிகளையும் கூட்டக் கிடைப்பது,

இரு அணிகளின் ஒத்த உறுப்புகளைச் சமன்படுத்தக் கிடைப்பது,
d + 3 = 2 ⇒ d = –1
8 + a = 2a + 1 ⇒ a = 7
3b − 2 = b – 5 ⇒ b = -3/2
a = 7 என்பதை a − 4 = 4c -யில் பிரதியிடக் கிடைப்பது c = 3/4
எனவே, a = 7, b = − 3/2, c = 3/4, d = –1.
எடுத்துக்காட்டு 3.66
எனில், பின்வருவனவற்றைக் காண்க. (i) 3A + 2B – C (ii) 1/2 A -3/2 B
தீர்வு
