எடுத்துக்காட்டு, தீர்வு | இயற்கணிதம் - சூத்திரத்தைப் பயன்படுத்தி இருபடிச் சமன்பாட்டின் தீர்வு காணுதல் | 10th Mathematics : UNIT 3 : Algebra
சூத்திரத்தைப் பயன்படுத்தி இருபடிச் சமன்பாட்டின் தீர்வு காணுதல்
ax2 + bx +c = 0 எனும் இருபடிச் சமன்பாட்டின் மூலங்கள் காணுதல் சூத்திரம் (பகுதி 3.6.2 இல் தருவிக்கப்பட்டுள்ளது)
ஆகும்.
உங்களுக்குத் தெரியுமா?
பண்டைய பாபிலோனியர்கள் இருபடிச் சமன்பாடுகளின் மூலங்கள் காணும் சூத்திரங்களை அறிந்திருந்தனர். அவர்கள் செய்யுள் மற்றும் பாடல்கள் மூலமாக மூலங்களைக் காணும் படிகளை எழுதினர். விவசாயத்திற்கான நிலங்களின் அளவுகளைக் கணக்கிட, பாபிலோனியர்கள் இருபடிச் சமன்பாடுகளைப் பயன்படுத்தினர்.
எடுத்துக்காட்டு 3.32
சூத்திர முறையில் x2 + 2x − 2 = 0 -ஐத் தீர்க்கவும்.
தீர்வு
x2 + 2x − 2 = 0 -ஐ ax2 + bx +c = 0 - உடன் ஒப்பிட,
a = 1, b = 2, c = -2
a, b மற்றும் c - யின் மதிப்புகளைச் சூத்திரத்தில் பிரதியிட,

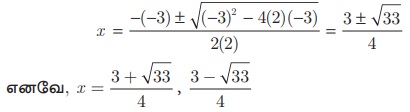
எனவே, x = −1 + √3, −1 − √3
எடுத்துக்காட்டு 3.33
சூத்திர முறையைப் பயன்படுத்தி 2x2 − 3x − 3 = 0 -ஐத் தீர்க்க
தீர்வு
2x2 − 3x − 3 = 0 -ஐ ax2 + bx + c = 0 உடன் ஒப்பிட,
a = 2, b = -3, c = -3

a, b மற்றும் c - யின் மதிப்புகளைச் சூத்திரத்தில் பிரதியிட,

எடுத்துக்காட்டு 3.34
3p2 + 2√5p – 5 = 0 -ஐ சூத்திர முறையில் தீர்க்கவும்.
தீர்வு
3p2 + 2√5p – 5 = 0- ஐ ax2 + bx +c = 0 உடன் ஒப்பிட,
a = 3, b = 2/5, c =-5.

a, b மற்றும் c -யின் மதிப்புகளைச் சூத்திரத்தில் பிரதியிட,

எடுத்துக்காட்டு 3.35
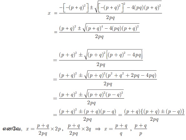
தீர்க்க pqx 2 − (p +q)2 x + (p +q)2 = 0
தீர்வு
pqx 2 − (p +q)2 x + (p +q)2 = 0 -ஐ ax 2 + bx +c = 0 உடன் ஒப்பிட
a = pq, b = −(p +q)2, c = ( p +q)2

a, b மற்றும் c -யின் மதிப்புகளைச் சூத்திரத்தில் பிரதியிட,
