கேள்வி பதில்கள் மற்றும் தீர்வுகள் | கணக்கு - பயிற்சி 3.14 : இருபடிச் சமன்பாட்டின் மூலங்களுக்கும் கெழுக்களுக்கும் இடையேயுள்ள தொடர்பு | 10th Mathematics : UNIT 3 : Algebra
பயிற்சி 3.14
1. கீழேக் கொடுக்கப்பட்ட கோவைகளை α + β மற்றும் α β வாயிலாக மாற்றி எழுதுக.

(iii) (3α - 1) (3β - 1)


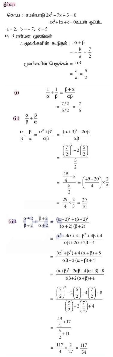
2. 2x2 − 7x + 5 = 0 என்ற சமன்பாட்டின் மூலங்கள் α மற்றும் β எனில், பின்வருவனவற்றின் மதிப்புகளைக் காண்க. (குறிப்பு: தீர்வு தேவையில்லை]


3. x2 + 6x − 4 = 0 - யின் மூலங்கள் α, β எனில், கீழ்க்கண்டவற்றை மூலங்களாகக் கொண்ட இருபடிச் சமன்பாட்டைக் காண்க.
(i) α2 மற்றும் β2
(ii) 2/α மற்றும் 2/β
(iii) α2β மற்றும் β2α

4. α, β என்பன 7x2 + ax + 2 = 0 -யின் மூலங்கள் மற்றும் β − α = -13/7 எனில், α –யின் மதிப்புக் காண்க.

5. 2y2 − ay + 64 = 0 என்ற சமன்பாட்டின் ஒரு மூலம் மற்றவை போல இருமடங்கு எனில் a-யின் மதிப்புக் காண்க.

6. மெய்யெண்களை மூலங்களாகக் கொண்ட 3x2 + kx + 81 = 0 என்ற சமன்பாட்டின் ஒரு மூலம் மற்றொரு மூலத்தின் வர்க்கம் எனில், k-யின் மதிப்புக் காண்க.

விடைகள்:
