தீர்க்கப்பட்ட எடுத்துக்காட்டு கணக்குகள் | கணிதம் - இருபடிச் சமன்பாடுகளின் வரைபடங்கள் | 10th Mathematics : UNIT 3 : Algebra
இருபடிச் சமன்பாடுகளின் வரைபடங்கள் (Quadratic Graphs)
அறிமுகம்
ஒரு பொருளை (பந்து போல) மேல் நோக்கி எறியும்போது ஏற்படும் ஒரு கோணத்திலிருந்து உருவாகும் பாதை பரவளையம் எனும் வளைவரை ஆகும். நீரூற்றிலிருந்து வெளிப்படும் தண்ணீரின் பாதை போன்றவை பரவளைய பாதையாகும். பரவளையமானது ஒரு சமன்பாட்டை குறிக்கும்.

f (x) = ax2 + bx + c என்பது இருபடிச் சார்புகளின் பொது வடிவம் ஆகும்.
இங்கு a, b, c என்பன மாறிலிகள் மற்றும் a ≠ 0.
பல இருபடிச்சார்புகளின் வரைபடங்களை பரவளையத்தை அடிப்படையாக வைத்து நேர்த்தியாகக் கையால் வரைய முடியும். y = x2 என்ற வளைவரையை வரையலாம். படம் 3.16 -யில் காட்டியுள்ளபடி பரவளையம் y = x2 தோன்றும்.

பொதுச் சமன்பாட்டின் கெழு a-ஐ பொறுத்து திறந்த பரவளையமானது மேல்நோக்கி அல்லது கீழ்நோக்கி இருக்கும். அதேபோல் 'a’-வின் மதிப்பைக் கொண்டு பரவளையம் விரிந்துள்ளதா அல்லது குறுகியுள்ளதா (அகலத்தை) என முடிவு செய்யலாம். அனைத்துப் பரவளையங்களுமே அடிப்படையில் “U” என்ற அமைப்பில் இருக்கும்.
இருபடிச் சமன்பாட்டின் கெழு x2-ன் கெழு a அதிகமாக இருந்தால் பரவளையம் குறுகியதாக இருக்கும். இருபடிச் சமன்பாட்டின் x2 –ன் கெழு a சிறியதாக இருந்தால் பரவளையம் விரிந்து காணப்படும்.

ஒரு குறிப்பிட்ட கோட்டினைப் பொறுத்துப் பரவளையம் சமச்சீராக இருக்கும் அக்கோடு ‘சமச்சீர் அச்சுக்கோடு’ எனப்படும். பரவளையமும் சமச்சீர் அச்சும் வெட்டிக்கொள்வது பரவளையத்தின் உச்சி எனப்படும். இருபடி பல்லுறுப்புக்கோவையை வரைபடத்தில் பொருத்தும்போது ஏற்படும் வளைவரையானது "பரவளையம்" என அழைக்கப்படுகிறது.

ax2 + bx + c = 0 இங்கு, a,b,c ∈ ℝ மற்றும் a ≠ 0 என்ற இருபடிச் சமன்பாட்டின் மூலங்களை எவ்வாறு கண்டுபிடிப்பது என ஏற்கனவே கருத்தியலாகப் படித்து இருக்கிறோம். இந்தப் பகுதியில் வரைபடத்தின் மூலம் இருபடிச் சமன்பாட்டின் மூலங்களை எவ்வாறு கண்டுபிடிப்பது எனக் கற்க இருக்கிறோம்.
1. இருபடிச் சமன்பாட்டின் தீர்வுகளின் தன்மையை வரைபடம் வாயிலாக அறிதல் (Finding the Nature of Solution of Quadratic Equations Graphically)
ax2 + bx +c = 0 என்ற இருபடிச் சமன்பாட்டின் மூலங்களை வரைபடத்தின் மூலம் காண முதலில் y = ax2 + bx + c என்பதன் வரைபடத்தை வரைய வேண்டும்.
இருபடிச் சமன்பாட்டின் தீர்வானது, வரைபடம் X-அச்சை வெட்டும் புள்ளிகளில் உள்ள x-ஆய தொலைவுகளாகும்.
பின்வரும் படிநிலைகளைக் கொண்டு வரைபட முறையில் இருபடிச் சமன்பாடுகளின் தீர்வுகளின் தன்மையைக் காணலாம்.
(i) இருபடிச் சமன்பாட்டின் வளைவரையானது X-அச்சை இரு வெவ்வேறு புள்ளிகளில் வெட்டினால் கொடுக்கப்பட்ட இருபடிச் சமன்பாட்டிற்கு இரண்டு சமமில்லாத மெய்யெண் தீர்வுகள் கிடைக்கும்.
(ii) இருபடிச் சமன்பாட்டின் வளைவரையானது X-அச்சை ஒரே ஒரு புள்ளியில் தொட்டால் கொடுக்கப்பட்ட இருபடிச் சமன்பாட்டிற்குச் சமமான மெய்யெண் தீர்வுகள் கிடைக்கும்.
(iii) இருபடிச் சமன்பாட்டின் வளைவரையானது X-அச்சை எந்த ஒரு புள்ளியிலும் வெட்டவில்லை எனில், கொடுக்கப்பட்ட இருபடிச் சமன்பாட்டிற்கு மெய்யெண் தீர்வுகள் இல்லை.
எடுத்துக்காட்டு 3.51
பின்வரும் இருபடிச் சமன்பாடுகளின் தீர்வுகளின் தன்மையை வரைபடம் மூலம் ஆராய்க.
(i) x2 + x - 12 = 0 (ii) x2 – 8 x + 16 = 0 (iii) x2 + 2 x + 5 = 0
தீர்வு
(i) x2 + x - 12 = 0
படி 1 y = x2 + x - 12 என்ற சமன்பாட்டின் மதிப்புகளை அட்டவணைப்படுத்துக.

படி 2
(x, y) என்ற வரிசைச் சோடி உடைய புள்ளிகளை வரைபடத் தாளில் குறிக்கவும்.

படி 3
பரவளையம் வரைந்து அது X- அச்சை வெட்டும் புள்ளிகளைக் குறிக்கவும்.
படி 4
பரவளையம் X-அச்சை (-4,0) மற்றும் (3,0) என்ற புள்ளிகளில் வெட்டுகிறது. இப்புள்ளிகளின் x-ஆயத்தொலைவுகள் -4 மற்றும் 3 ஆகும்.
இங்கு x2 + x - 12 = 0 என்ற இருபடிச் சமன்பாடு X- அச்சை இருவேறு புள்ளிகளில் வெட்டுகிறது. எனவே, இருபடிச் சமன்பாட்டின் மூலங்கள் இரு சமமற்ற மெய்யெண்களாக இருக்கும்.
(ii) x2 − 8x + 16 = 0
படி 1 y = x2 – 8 x + 16 என்ற சமன்பாட்டின் மதிப்புகளை அட்டவணைப்படுத்துக.

படி 2
(x, y) என்ற வரிசை சோடி உடைய புள்ளிகளை வரைபடத்தாளில் குறிக்கவும்.

படி 3
பரவளையம் வரைந்து அது X-அச்சை வெட்டும் புள்ளிகளைக் குறிக்கவும்.
படி 4
பரவளையம் X-அச்சை (4,0) என்ற புள்ளியில் வெட்டுகிறது. இப்புள்ளியின் x ஆயத்தொலைவு 4.
X-அச்சை ஒரே புள்ளியில் வெட்டுவதால் x2 – 8 x + 16 = 0 என்ற இருபடிச் சமன்பாட்டிற்கு மெய் மற்றும் சமமான தீர்வுகள் உண்டு.
(iii) x2 + 2x + 5 = 0
y = x2 + 2 x + 5 என்க.
படி 1
y = x2 + 2 x + 5 என்ற சமன்பாட்டின் மதிப்புகளை அட்டவணைப்படுத்துக.

படி 2
(x, y) என்ற வரிசைச் சோடி உடைய புள்ளிகளை வரைபடத்தாளில் குறிக்கவும்.

படி 3
இப்புள்ளிகளை நேர்க்கோடற்ற இழைவான வளைவரையில் (Smooth Curve) இணைத்து பெறப்பட்ட வளைவரை y = x2 + 2 x + 5 -ன் வரைபடம் ஆகும்.
படி 4
கொடுக்கப்பட்ட சமன்பாட்டின் பரவளையமானது X- அச்சை எந்தப் புள்ளியிலும் வெட்டவில்லை/தொட்டு செல்லவில்லை.
எனவே, கொடுக்கப்பட்ட இருபடிச் சமன்பாட்டிற்கு மெய்யெண் மூலங்கள் இல்லை.
முன்னேற்றச் சோதனை
கொடுக்கப்பட்ட வரைபடங்கள் X-அச்சை வெட்டும் போது உண்டாகும் புள்ளிகளின் எண்ணிக்கை மற்றும் அதற்கு உண்டான தீர்வுகளின் தன்மையையும் இணைக்கவும்.

2. இருபடிச் சமன்பாடுகளின் தீர்வுகளை வெட்டுக் கோடுகளின் மூலம் காணுதல் (Solving quadratic equations through intersection of lines)
கொடுத்த பரவளையத்தை வெட்டுகின்ற பொருத்தமான நேர்க்கோட்டின் மூலம் இருபடிச் சமன்பாடுகளின் தீர்வுகளைக் காணலாம்.
(i) பரவளையத்தை நேர்க்கோடு ஆனது இருவேறு புள்ளிகளில் வெட்டினால் அப்புள்ளிகளின் x-ன் ஆயத் தொலைவுகள் அந்த இருபடிச் சமன்பாட்டின் மூலங்கள் ஆகும்.
(ii) பரவளையத்தை நேர்க்கோடானது ஒரே புள்ளியில் தொட்டுச் சென்றால், அப்புள்ளியின் x-ன் ஆயத்தொலைவு அச்சமன்பாட்டின் ஒரே ஒரு மூலம் ஆகும்.
(iii) பரவளையத்தை நேர்க்கோடானது வெட்டிக் கொள்ளாமல் சென்றால் அச்சமன்பாட்டிற்கு மெய்யெண் மூலங்கள் இல்லை.
எடுத்துக்காட்டு 3.52
y = 2x2 என்ற வரைபடம் வரைந்து அதன் மூலம் 2x2 − x − 6 = 0 என்ற சமன்பாட்டைத் தீர்க்க.
தீர்வு
படி 1
y = 2x2 - ன் வரைபடம் வரைவதற்கு மதிப்புகளைக் கீழ்க்கண்டவாறு அட்டவணைப்படுத்த வேண்டும்.

படி 2
2x2 − x − 6 = 0 என்ற சமன்பாட்டின் தீர்வு காண்பதற்கு, முதலில் y = 2x2 -லிருந்து 2x2 − x − 6 = 0 ஐ கழிக்க வேண்டும்.
எனவே, 
y = x + 6 என்பது ஒரு நேர்க்கோட்டின் சமன்பாடு ஆகும். y = x + 6 நேர்க்கோட்டின் வரைபடம் வரைவதற்கு மதிப்புகளைக் கீழ்க்கண்டவாறு அட்டவணைப்படுத்த வேண்டும்.


படி 3
y = 2x2 என்ற பரவளையம் மற்றும் y = x + 6 என்ற நேர்க்கோடு வெட்டும் புள்ளிகள் (-1.5,4.5) மற்றும் (2,8)
படி 4
இப்புள்ளிகளின் x- ஆயத் தொலைவுகள் -1.5 மற்றும் 2 ஆகும். எனவே, சமன்பாடு 2x2 − x − 6 = 0 -யின் தீர்வுகள் -1.5 மற்றும் 2 ஆகும்.
எடுத்துக்காட்டு 3.53
y = x2 + 4x + 3 -ன் வரைபடம் வரைந்து அதனைப் பயன்படுத்தி x2 + x + 1 = 0 என்ற சமன்பாட்டின் தீர்வைக் காண்க.
தீர்வு
படி 1
y = x2 + 4x + 3 - ன் வரைபடம் வரைவதற்கு மதிப்புகளைக் கீழ்க்கண்டவாறு அட்டவணைப்படுத்த வேண்டும்.


படி 2
y = x2 + x + 1 = 0 என்ற சமன்பாட்டின் தீர்வு காண்பதற்கு, முதலில் y = x2 + 4x + 3 -லிருந்து x2 + x + 1 = 0 -ஐ கழிக்க வேண்டும்.

இங்கு, y = 3x + 2 என்பது ஒரு நேர்க்கோட்டின் சமன்பாடு ஆகும். இதன் வரைபடம் வரைவதற்கு மதிப்புகளைக் கீழ்க்கண்டவாறு அட்டவணைப்படுத்த வேண்டும்.

படி 3
y = 3x + 2 என்ற நேர்க்கோட்டின் வரைபடம் y = x2 + 4x + 3 என்ற பரவளையத்தை எந்த ஒரு புள்ளியிலும் வெட்டாமல்/தொடாமல் செல்கிறது. எனவே, x2 + x + 1 = 0 என்ற இருபடிச் சமன்பாட்டிற்கு மெய்யெண் தீர்வுகள் இல்லை.
எடுத்துக்காட்டு 3.54
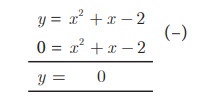
y = x2 + x – 2 -ன் வரைபடம் வரைந்து அதன் மூலம் x2 + x – 2 = 0 என்ற சமன்பாட்டினைத் தீர்க்கவும்.
தீர்வு
படி 1
y = x2 + x – 2 -ன் வரைபடம் வரைவதற்குக் கீழ்க்கண்டவாறு அட்டவணை மதிப்புகளைத் தயார் செய்க.


படி 2
x2 + x – 2 = 0 என்ற சமன்பாட்டைத் தீர்வு காண்பதற்கு,
y = x2 + x – 2 -யிலிருந்து x2 + x – 2 = 0 - ஐ கழிக்க வேண்டும்.
எனவே 
இங்கு, y = 0 என்பது X-அச்சு ஆகும்.
படி 3
y = x2 + x – 2 என்ற பரவளையம் X-அச்சை (-2,0) மற்றும் (1,0) என்ற புள்ளிகளில் வெட்டுகிறது.
படி 4
இப்புள்ளிகளின் x-ஆயத்தொலைவுகள் -2 மற்றும் 1 ஆகும். எனவே, சமன்பாடு x2 + x – 2 = 0-ன் தீர்வுகள் -2 மற்றும் 1.
எடுத்துக்காட்டு 3.55
y = x2 − 4x + 3 - யின் வரைபடம் வரைந்து அதன்மூலம் x2 − 6x + 9 = 0 என்ற சமன்பாட்டைத் தீர்க்கவும்.
தீர்வு
படி 1
y = x2 − 4x + 3 -யின் வரைபடம் வரைவதற்குக் கீழ்க்கண்ட மதிப்புகளை அட்டவணைப்படுத்த வேண்டும்.


படி 2
x2 − 6x + 9 = 0 என்ற சமன்பாட்டைத் தீர்வு காண்பதற்கு, y = x2 − 4x + 3 -லிருந்து x2 − 6x + 9 = 0 -ஐக் கழிக்க வேண்டும்.
எனவே

y = 2x – 6 என்பது ஒரு நேர்க்கோட்டின் சமன்பாடு ஆகும். y = 2x – 6 -யின் வரைபடம் வரைவதற்கு மதிப்புகளைக் கீழ்க்கண்டவாறு அட்டவணைப்படுத்த வேண்டும்.

y = 2x – 6 என்ற நேர்க்கோடும் y = x2 − 4x + 3 என்ற பரவளையமும் ஒரே ஒரு புள்ளியில் சந்திக்கின்றன.
படி 3
y = x2 − 4x + 3 என்ற பரவளையமும் y = 2x – 6 என்ற நேர்க்கோடும் (3,0) என்ற புள்ளியில் தொடுகின்றன. எனவே, இதன் x ஆயத்தொலைவு 3 என்பதே x2 − 6x + 9 = 0 என்ற சமன்பாட்டின் தீர்வு ஆகும்.